| レポートで作成する図表の説明 |
|
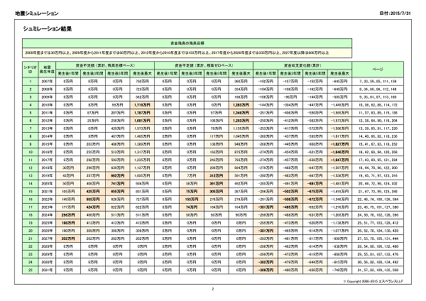
| @ シミュレーション結果 |
シミュレーションの結果の一覧を作成します。残高目標に対する資金不足額(累計)、残高ゼロベースでの資金不足額(累計)、資金収支変化額(累計)をシミュレーション結果として表示します。

地震発生年度と資金不足額(累計、残高目標ベース)のグラフを作成します。

地震発生年度と資金不足額(累計、残高ゼロベース)のグラフを作成します。

地震発生年度と資金収支変化額(累計)のグラフを作成します。

|
|
|
| A 資金残高推移のグラフ |
各地震発生年度(各シナリオ)の資金残高の推移のグラフを作成します。

|
|
|
| B 収入・支出・資金残高・資金収支の変化額の推移の表・グラフ |
各地震発生年度(各シナリオ)の収入・支出・資金残高・資金収支の変化額の推移の表と資金収支の変化額の推移のグラフを作成します。

|
|
|
| C (補足資料) 資金収支の推移の表・グラフ |
各地震発生年度(各シナリオ)の資金収支の推移の表とグラフを作成します。

|
|
|
| D (補足資料) 収入・支出の推移のグラフ |
各地震発生年度(各シナリオ)の収入・支出の推移のグラフを作成します。

|
|
|
| E (補足資料) 継続的収入・継続的支出の推移のグラフ |
|
|
|
| F (補足資料)その他の表・グラフ |
各地震発生年度(各シナリオ)の収入・支出の変化額の詳細の推移を作成します。

その他の補足資料として、可処分所得の推移の表、支出の推移の表、継続的支出の推移の表、支出の詳細の推移の表、必要に応じて、臨時的収入、臨時的支出の詳細の推移の表、教育費支出の推移の表とグラフ、住宅ローンの返済額、残高の推移の表とグラフを作成します。

|
|